高壓清洗機噴嘴截面積計算—圖表法

    時間:2013-04-15 11:07:54作者:LeeZhou來源:德高潔清潔設備分享到:QQ空間新浪微博騰訊微博人人網微信

    一般在高壓清洗機設計中,首先根據類比或試驗方法確定壓力和流量。然后便可按照本文介紹的圖表法對高壓清洗機噴嘴參數進行計算選擇。之前我們介紹了《高壓清洗機噴嘴參數選擇方法—估算法》,圖表法只是繪成圖表的形式,可更加方便的查詢相關數據。

    高壓清洗機噴嘴參數選擇方法—圖表法:

    這種方法實質上也是依據流量連續性方程和能量守恒方程來確定合理的噴咀截面積,只是繪成圖表的形式,應用方便。

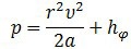
    高壓清洗機的工作壓力表達式 公式(1)

    由公式(1)可確定 V—P 關系曲線,這里不考慮壓力損失。

    表1:
     

    P

    MPa

    3

    4

    5

    6

    7

    8

    9

    10

    V

    m/s

    77.46

    89.44

    100

    109.54

    118.32

    126.49

    134.16

    141.42


    表1中:P —高壓清洗機的工作壓力,Pa;
           V —噴嘴處流速,m/s。

    Q=A•V=常數 [不考慮泵到噴嘴的流量損失] 公式(2)

    由公式(2)可確定 V—A 關系曲線,對于流量為0.3m³/h 的柱塞泵見表2。

    表2:
     

    V

    m/s

    77.46

    89.44

    100

    109.54

    118.32

    126.49

    134.16

    141.42

    A

    mm²

    1.07

    0.93

    0.83

    0.76

    0.70

    0.66

    0.62

    0.59


    表2中:A —噴嘴截面積,㎡。

    對于流量為0.6m³/h 的柱塞泵見表3。

    表3:
     

    V

    m/s

    77.46

    89.44

    100

    109.54

    118.32

    126.49

    134.16

    141.42

    A

    mm²

    2.16

    1.87

    1.67

    1.52

    1.41

    1.32

    1.24

    1.18


    對于流量為0.9m³/h 的柱塞泵見表4。

    表4:
     

    V

    m/s

    77.46

    89.44

    100

    109.54

    118.32

    126.49

    134.16

    141.42

    A

    mm²

    3.23

    2.80

    2.50

    2.28

    2.11

    1.98

    1.86

    1.77


    將 V—P 和 V—A 關系曲線如下圖繪于同一座標紙上,我們就可以根據噴嘴上游相應的工作壓力 確定噴嘴出口處流速V ,再由噴嘴出口處流速找到合理的噴嘴出口截面積 A
     
    噴嘴處流速、壓力、噴嘴截面積關系曲線圖

    對于各種額定流量的柱塞泵和不同的清洗液,我們都可以繪制出如上圖類似的許多曲線,通過圖表可以很方便并確定合理的噴嘴截面積。

    熱門搜索: