高壓清洗機噴嘴參數選擇方法—估算法
時間:2013-04-10 13:21:14作者:LeeZhou來源:德高潔清潔設備分享到:QQ空間新浪微博騰訊微博人人網微信
在高壓水射流清洗中,噴嘴的作用是將高壓力低流速的水轉化為低壓力高流速的射流。噴嘴的性能將直接影響射流水力性能和工件的清洗質量,所以在設計制造高壓清洗機中,正確、合理地選擇噴嘴的類型及確定噴嘴的結構參數,是一個極其關鍵的問題。
一般在高壓清洗機設計中,首先根據類比或試驗方法確定系統的壓力和流量,隨后便可按照估算法對清洗機噴嘴參數進行計算。
高壓清洗機噴嘴參數選擇方法—估算法:
這種方法主要由流量連續性方程和能量守恒方程來確定噴嘴截面積:
Q=A•V=常數 [不考慮泵到噴嘴的流量損失] 公式(1)
公式(1)中:Q —柱塞泵流量,m³/s;
A —噴嘴截面積,㎡;
V —噴嘴處流速,m/s。
公式(2)
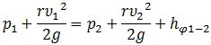
公式(2)中:p1 —噴嘴上游某斷面的壓力,Pa;
p2 —噴嘴出口處壓力,Pa;
υ1 —噴嘴上游某斷面的流速,m/s;
υ2 —噴嘴出口處流速,m/s;
hφ1-2 —噴嘴上游的某斷面到噴嘴出口處的壓力損失,Pa;
r —清洗液重度,N/m³;
g —重力加速度,取g=9.81m/s²。
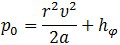
取柱塞泵出口和噴嘴出口兩斷面,則 υ1=0,p1=p0,υ2=V,p2=0;即可得出:
公式(3)
公式(4)
將公式(4)代入公式(1),便可確定噴嘴截面積。
公式(4)中:p0 —高壓清洗機的工作壓力,Pa;
hφ —高壓清洗機的壓力損失,Pa。
為簡化起見,我們假定不考慮壓力損失,公式(4)便簡化為:
公式(5)
公式(5)中:K —清洗液性質有關的系數,對于清水,K=22.36N/(m/s)。
舉例說明:高壓清洗機的工作壓力 p0 = 7MPa,流量 Q= 0.55m³/h,工作介質為清水。則與其匹配的噴槍噴嘴截面積應為 A= 1.291mm²。若噴嘴出口為圓截面,則其出口直徑 d= 1.28mm。
一般在高壓清洗機設計中,首先根據類比或試驗方法確定系統的壓力和流量,隨后便可按照估算法對清洗機噴嘴參數進行計算。
高壓清洗機噴嘴參數選擇方法—估算法:
這種方法主要由流量連續性方程和能量守恒方程來確定噴嘴截面積:
Q=A•V=常數 [不考慮泵到噴嘴的流量損失] 公式(1)
公式(1)中:Q —柱塞泵流量,m³/s;
A —噴嘴截面積,㎡;
V —噴嘴處流速,m/s。
公式(2)公式(2)中:p1 —噴嘴上游某斷面的壓力,Pa;
p2 —噴嘴出口處壓力,Pa;
υ1 —噴嘴上游某斷面的流速,m/s;
υ2 —噴嘴出口處流速,m/s;
hφ1-2 —噴嘴上游的某斷面到噴嘴出口處的壓力損失,Pa;
r —清洗液重度,N/m³;
g —重力加速度,取g=9.81m/s²。
取柱塞泵出口和噴嘴出口兩斷面,則 υ1=0,p1=p0,υ2=V,p2=0;即可得出:
將公式(4)代入公式(1),便可確定噴嘴截面積。
公式(4)中:p0 —高壓清洗機的工作壓力,Pa;
hφ —高壓清洗機的壓力損失,Pa。
為簡化起見,我們假定不考慮壓力損失,公式(4)便簡化為:
公式(5)公式(5)中:K —清洗液性質有關的系數,對于清水,K=22.36N/(m/s)。
舉例說明:高壓清洗機的工作壓力 p0 = 7MPa,流量 Q= 0.55m³/h,工作介質為清水。則與其匹配的噴槍噴嘴截面積應為 A= 1.291mm²。若噴嘴出口為圓截面,則其出口直徑 d= 1.28mm。
熱門搜索: