- 全國統一銷售熱線:
- 北京總部:
- 010-64437473
- 上海:
- 021-62113795
- 深圳:
- 0755-86241216
高壓清洗機在清洗作業前的技術參數確定
時間:2012-04-10 來源: http://www.kuaijiuu.com
近些年,高壓清洗機在清洗領域的發展異常迅速,由于其具有投資少、環保無污染、不損壞被清洗基體、應用范圍廣、節能等特點,所以受到了廣泛的好評。那么,使用高壓清洗機在清洗作業前該如何選擇技術參數才能達到最佳的清洗效果呢,以下主要介紹這部分內容。
為了最大化的提升高壓清洗機的清洗效果,確定合理的清洗參數非常重要,以下介紹相關技術參數的計算公式:
1)當水從高壓噴嘴以射流的形式噴出時,高壓水射流的平均速度 V 可由下列公式計算:
K ―常數 p ―泵壓
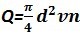
2)高壓水射流流量 Q 可根據下列公式計算:
d ―噴嘴直徑 V ―射流速度 n ―噴嘴數量
3)高壓清洗機電機功率 W 可根據下列公式計算:
K ―常數 p ―泵壓 Q ―高壓水射流流量
高壓水射流的速度和流量越大,清洗效率就越高。
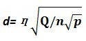
4)當壓力和流量一定時,噴嘴直徑 d 可根據下列公式計算:

η ―常數 Q ―高壓水射流流量 n ―噴嘴數量 p ―泵壓
噴嘴反力 F 可根據下列公式計算:
ε ―常數 d ―噴嘴直徑 p ―泵壓
如果噴頭是由多個噴嘴組成的,可由上述公式計算出單個噴嘴的反力,隨后再計算出所有噴嘴的反力,通過調整噴嘴的直徑、數量以及射流角度,反力的大小和方向是可以變化的。
上一篇:高壓水射流除磷系統相關技術參數說明
下一篇:高壓清洗機之高壓膠管的理論計算分析
- 標簽:
- 高壓清洗機
- 高壓水清洗機
- 高壓水射流清洗機
- 技術參數
高壓清洗機主要部件之高壓泵組的選用分析
2012-08-03
超高壓水射流速度的實驗研究
2012-11-17
高壓水去毛刺機專用噴嘴介紹
2018-07-16
高壓清洗機溢流閥原理介紹
2015-01-22
高壓清洗機噴嘴內表面質量對噴嘴效率的影
2015-02-03
高壓清洗機日常維護:噴嘴的磨損因素及更
2018-08-22
高壓水去毛刺機專用噴嘴介紹
2018-07-16
高壓水射流破碎混凝土的優點
2018-07-04
高壓清洗機在管道清洗時的注意事項
2018-06-28
高壓水射流清洗安全注意事項
2018-06-20



